
Vector autoregressive spatio-temporal models
James T. Thorson
Source:vignettes/web_only/VAST.Rmd
VAST.RmdtinyVAST is an R package for fitting vector
autoregressive spatio-temporal (VAST) models. We here explore the
capacity to specify the vector-autoregressive spatio-temporal
component.
Univariate spatio-temporal autoregressive model
We first explore the ability to specify a first-order autoregressive spatio-temporal process, i.e., a spatial Gompertz model (Thorson et al. 2014).
Simulate univariate autoregressive process
To do so, we simulate the process:
# Simulate settings
theta_xy = 0.4
n_x = n_y = 10
n_t = 15
rho = 0.8
spacetime_sd = 0.5
space_sd = 0.5
gamma = 0
# Simulate GMRFs
R_s = exp(-theta_xy * abs(outer(1:n_x, 1:n_y, FUN="-")) )
R_ss = kronecker(R_s, R_s)
Vspacetime_ss = spacetime_sd^2 * R_ss
Vspace_ss = space_sd^2 * R_ss
# make spacetime AR1 over time
eps_ts = mvtnorm::rmvnorm( n_t, sigma=Vspacetime_ss )
for( t in seq_len(n_t) ){
if(t>1) eps_ts[t,] = rho*eps_ts[t-1,] + eps_ts[t,]/(1 + rho^2)
}
# make space term
omega_s = mvtnorm::rmvnorm( 1, sigma=Vspace_ss )[1,]
# linear predictor
p_ts = gamma + outer( rep(1,n_t),omega_s ) + eps_ts
# Shape into longform data-frame and add error
Data = data.frame( expand.grid(time=1:n_t, x=1:n_x, y=1:n_y),
var = "logn",
mu = exp(as.vector(p_ts)) )
Data$n = tweedie::rtweedie( n=nrow(Data), mu=Data$mu, phi=0.5, power=1.5 )
mean(Data$n==0)
#> [1] 0.072Fit univariate spatio-temporal model
We then specify and fit the same model
# make mesh
mesh = fm_mesh_2d( Data[,c('x','y')] )
# Spatial variable
space_term = "
logn <-> logn, sd_space
"
# AR1 spatio-temporal variable
spacetime_term = "
logn -> logn, 1, rho
logn <-> logn, 0, sd_spacetime
"
# fit model
mytinyVAST = tinyVAST(
space_term = space_term,
spacetime_term = spacetime_term,
data = Data,
formula = n ~ 1,
spatial_domain = mesh,
family = tweedie()
)
mytinyVAST
#> Call:
#> tinyVAST(formula = n ~ 1, data = Data, space_term = space_term,
#> spacetime_term = spacetime_term, family = tweedie(), spatial_domain = mesh)
#>
#> Run time:
#> Time difference of 8.136432 secs
#>
#> Family:
#> $obs
#>
#> Family: tweedie
#> Link function: log
#>
#>
#>
#>
#> sdreport(.) result
#> Estimate Std. Error
#> alpha_j -0.51039962 0.20682402
#> beta_z 0.84975932 0.07526407
#> beta_z -0.25841509 0.03730060
#> theta_z 0.44410026 0.06898305
#> log_sigma -0.64811725 0.05006776
#> log_sigma 0.01446391 0.06494065
#> log_kappa -0.15609782 0.16446773
#> Maximum gradient component: 0.00235749
#>
#> Proportion conditional deviance explained:
#> [1] 0.4812353
#>
#> space_term:
#> heads to from parameter start Estimate Std_Error z_value p_value
#> 1 2 logn logn 1 <NA> 0.4441003 0.06898305 6.437817 1.212041e-10
#>
#> spacetime_term:
#> heads to from parameter start lag Estimate Std_Error z_value
#> 1 1 logn logn 1 <NA> 1 0.8497593 0.07526407 11.290372
#> 2 2 logn logn 2 <NA> 0 -0.2584151 0.03730060 -6.927908
#> p_value
#> 1 1.464154e-29
#> 2 4.271107e-12
#>
#> Fixed terms:
#> Estimate Std_Error z_value p_value
#> (Intercept) -0.5103996 0.206824 -2.467797 0.01359475
#>
#> Sanity check:
#>
#> **Possible issues detected! Check output of sanity().**The estimated values for beta_z then correspond to the
simulated value for rho and spatial_sd.
We can compare the true densities:
library(sf)
data_wide = reshape( Data[,c('x','y','time','mu')],
direction = "wide", idvar = c('x','y'), timevar = "time")
sf_data = st_as_sf( data_wide, coords=c("x","y"))
sf_grid = sf::st_make_grid( sf_data )
sf_plot = st_sf(sf_grid, st_drop_geometry(sf_data) )
plot(sf_plot, max.plot=n_t )
with the estimated densities:
Data$mu_hat = predict(mytinyVAST)
data_wide = reshape( Data[,c('x','y','time','mu_hat')],
direction = "wide", idvar = c('x','y'), timevar = "time")
sf_data = st_as_sf( data_wide, coords=c("x","y"))
sf_plot = st_sf(sf_grid, st_drop_geometry(sf_data) )
plot(sf_plot, max.plot=n_t )
where a scatterplot shows that they are highly correlated:
plot( x=Data$mu, y=Data$mu_hat )
We can also use the DHARMa package to visualize
simulation residuals:
# simulate new data conditional on fixed effects
# and sampling random effects from their predictive distribution
y_ir = simulate(mytinyVAST, nsim=100, type="mle-mvn")
#
res = DHARMa::createDHARMa( simulatedResponse = y_ir,
observedResponse = Data$n,
fittedPredictedResponse = fitted(mytinyVAST) )
plot(res)
We can then calculate the area-weighted total abundance and compare it with its true value:
# Predicted sample-weighted total
(Est = sapply( seq_len(n_t),
FUN=\(t) integrate_output(mytinyVAST, newdata=subset(Data,time==t)) ))
#> [,1] [,2] [,3] [,4] [,5] [,6]
#> Estimate 69.774447 68.167140 68.249630 64.038614 58.73677 60.506551
#> Std. Error 4.733492 4.404923 4.324752 4.092695 3.88048 3.887898
#> Est. (bias.correct) 72.867385 71.288095 71.442818 67.062659 61.53693 63.391164
#> Std. (bias.correct) NA NA NA NA NA NA
#> [,7] [,8] [,9] [,10] [,11] [,12]
#> Estimate 54.977472 58.463750 64.523936 74.895753 84.490828 76.981717
#> Std. Error 3.772124 3.863061 4.166782 4.702733 5.335558 5.141674
#> Est. (bias.correct) 57.610590 61.214901 67.544370 78.337004 88.253708 80.405033
#> Std. (bias.correct) NA NA NA NA NA NA
#> [,13] [,14] [,15]
#> Estimate 87.189069 96.106447 93.626602
#> Std. Error 5.514166 6.001112 6.338957
#> Est. (bias.correct) 91.106034 100.570723 98.734193
#> Std. (bias.correct) NA NA NA
# True (latent) sample-weighted total
(True = tapply( Data$mu, INDEX=Data$time, FUN=sum ))
#> 1 2 3 4 5 6 7 8
#> 70.98033 70.14925 68.40932 68.70763 58.38332 65.95801 60.52297 55.14115
#> 9 10 11 12 13 14 15
#> 60.02083 74.91768 86.40811 77.73359 85.88998 98.33442 105.16020
#
Index = data.frame( time=seq_len(n_t), t(Est), True )
Index$low = Index[,'Est...bias.correct.'] - 1.96*Index[,'Std..Error']
Index$high = Index[,'Est...bias.correct.'] + 1.96*Index[,'Std..Error']
#
library(ggplot2)
ggplot(Index, aes(time, Estimate)) +
geom_ribbon(aes(ymin = low,
ymax = high), # shadowing cnf intervals
fill = "lightgrey") +
geom_line( color = "black",
linewidth = 1) +
geom_point( aes(time, True), color = "red" )
Comparison with VAST or sdmTMB
Next, we compare this against the current version of VAST (Thorson and Barnett 2017)
settings = make_settings(
purpose="index3",
n_x = n_x*n_y,
Region = "Other",
bias.correct = FALSE,
use_anisotropy = FALSE
)
settings$FieldConfig['Epsilon','Component_1'] = 0
settings$FieldConfig['Omega','Component_1'] = 0
settings$RhoConfig['Epsilon2'] = 4
settings$RhoConfig[c('Beta1','Beta2')] = 3
settings$ObsModel = c(10,2)
# Run VAST
myVAST = fit_model(
settings=settings,
Lat_i = Data$y,
Lon_i = Data$x,
t_i = Data$time,
b_i = as.numeric(Data$n),
a_i = rep(1,nrow(Data)),
observations_LL = cbind(Lat=Data[,'y'],Lon=Data[,'x']),
grid_dim_km = c(100,100),
newtonsteps = 0,
loopnum = 1,
control = list(eval.max = 10000, iter.max = 10000, trace = 0)
)
myVASTOr with sdmTMB (Anderson et al. n.d.)
library(sdmTMB)
sdmTMB_mesh = make_mesh(Data, c("x","y"), n_knots=n_x*n_y )
start_time2 = Sys.time()
mysdmTMB = sdmTMB(
formula = n ~ 1,
data = Data,
mesh = sdmTMB_mesh,
spatial = "on",
spatiotemporal = "ar1",
time = "time",
family = tweedie()
)
sdmTMBtime = Sys.time() - start_time2The models all have similar runtimes
Times = data.frame(
tinyVAST = mytinyVAST$run_time,
VAST = myVAST$total_time,
sdmTMB = sdmTMBtime
)
knitr::kable( cbind("run times (sec.)"=Times), digits=1)| run times (sec.).tinyVAST | run times (sec.).VAST | run times (sec.).sdmTMB |
|---|---|---|
| 8.1 secs | NA | 10.1 secs |
Delta models
We can also fit this univariate spatio-temporal process using a Poisson-linked gamma delta model (Thorson 2018)
# fit model
mydelta2 = tinyVAST(
data = Data,
formula = n ~ 1,
delta_options = list(
formula = ~ 0 + factor(time),
spacetime_term = "logn -> logn, 1, rho"),
family = delta_lognormal(type="poisson-link"),
spatial_domain = mesh
)
mydelta2
#> Call:
#> tinyVAST(formula = n ~ 1, data = Data, family = delta_lognormal(type = "poisson-link"),
#> delta_options = list(formula = ~0 + factor(time), spacetime_term = "logn -> logn, 1, rho"),
#> spatial_domain = mesh)
#>
#> Run time:
#> Time difference of 7.868109 secs
#>
#> Family:
#> $obs
#>
#> Family: binomial lognormal
#> Link function: log log
#>
#>
#>
#>
#> sdreport(.) result
#> Estimate Std. Error
#> alpha_j 0.9673982 0.03523113
#> alpha2_j -1.2465531 0.14981116
#> alpha2_j -1.2927804 0.17500264
#> alpha2_j -1.3056616 0.19172295
#> alpha2_j -1.3218115 0.20304344
#> alpha2_j -1.5709922 0.21258960
#> alpha2_j -1.4450793 0.21945079
#> alpha2_j -1.7167974 0.22626434
#> alpha2_j -1.5448634 0.23247502
#> alpha2_j -1.3990617 0.23308060
#> alpha2_j -1.1251748 0.23638081
#> alpha2_j -1.2235461 0.23877445
#> alpha2_j -1.5131381 0.24006161
#> alpha2_j -1.2469233 0.24216447
#> alpha2_j -1.1278738 0.24209141
#> alpha2_j -1.0707282 0.24334575
#> beta2_z 0.8967400 0.03512556
#> beta2_z 0.3133328 0.03906544
#> log_sigma 0.0296271 0.02475190
#> log_kappa 0.1085638 0.14818576
#> Maximum gradient component: 0.001977891
#>
#> Proportion conditional deviance explained:
#> [1] 0.3295031
#>
#> Fixed terms:
#> Estimate Std_Error z_value p_value
#> (Intercept) 0.9673982 0.03523113 27.45862 5.482304e-166
#>
#> Sanity check:
#>
#> **Possible issues detected! Check output of sanity().**And we can again use the DHARMa package (Hartig 2017) to visualize conditional
simulation quantile (a.k.a. Dunn-Smythe) residuals (Dunn and Smyth 1996):
# simulate new data conditional on fixed effects
# and sampling random effects from their predictive distribution
y_ir = simulate(mydelta2, nsim=100, type="mle-mvn")
# Visualize using DHARMa
res = DHARMa::createDHARMa( simulatedResponse = y_ir,
observedResponse = Data$n,
fittedPredictedResponse = fitted(mydelta2) )
plot(res)
We can then use marginal and conditional AIC to compare the fit of the delta-model and Tweedie distribution:
# AIC table
AIC_table = cbind(
mAIC = c( "Tweedie" = AIC(mytinyVAST),
"delta-lognormal" = AIC(mydelta2) ),
cAIC = c( "Tweedie" = tinyVAST::cAIC(mytinyVAST),
"delta-lognormal" = tinyVAST::cAIC(mydelta2) )
)
# Print table
knitr::kable(
AIC_table,
digits=3
)| mAIC | cAIC | |
|---|---|---|
| Tweedie | 2501.480 | 2356.787 |
| delta-lognormal | 2947.194 | 2848.163 |
Bivariate vector autoregressive spatio-temporal model
We next highlight how to specify a bivariate spatio-temporal model with a cross-laggged (vector autoregressive) interaction Thorson, Adams, and Holsman (2019). ## Simulate bivariate model
We first simulate artificial data for the sake of demonstration:
# Simulate settings
theta_xy = 0.2
n_x = n_y = 10
n_t = 20
B = rbind( c( 0.5, -0.25),
c(-0.1, 0.50) )
# Simulate GMRFs
R = exp(-theta_xy * abs(outer(1:n_x, 1:n_y, FUN="-")) )
d1 = mvtnorm::rmvnorm(n_t, sigma=0.2*kronecker(R,R) )
d2 = mvtnorm::rmvnorm(n_t, sigma=0.2*kronecker(R,R) )
d = abind::abind( d1, d2, along=3 )
# Project through time and add mean
for( t in seq_len(n_t) ){
if(t>1) d[t,,] = t(B%*%t(d[t-1,,])) + d[t,,]
}
# Shape into longform data-frame and add error
Data = data.frame( expand.grid(time=1:n_t, x=1:n_x, y=1:n_y, "var"=c("d1","d2")),
mu = exp(as.vector(d)))
Data$n = tweedie::rtweedie( n=nrow(Data), mu=Data$mu, phi=0.5, power=1.5 )Fit bivariate model
We next set up inputs and run the model:
# make mesh
mesh = fm_mesh_2d( Data[,c('x','y')] )
# Define DSEM
dsem = "
d1 -> d1, 1, b11
d2 -> d2, 1, b22
d2 -> d1, 1, b21
d1 -> d2, 1, b12
d1 <-> d1, 0, var1
d2 <-> d2, 0, var1
"
# fit model
out = tinyVAST( spacetime_term = dsem,
data = Data,
formula = n ~ 0 + var,
spatial_domain = mesh,
family = tweedie() )
#> Warning: The model may not have converged. Maximum final gradient:
#> 0.0108368453778236.
out
#> Call:
#> tinyVAST(formula = n ~ 0 + var, data = Data, spacetime_term = dsem,
#> family = tweedie(), spatial_domain = mesh)
#>
#> Run time:
#> Time difference of 28.9268 secs
#>
#> Family:
#> $obs
#>
#> Family: tweedie
#> Link function: log
#>
#>
#>
#>
#> sdreport(.) result
#> Estimate Std. Error
#> alpha_j 0.090202981 0.11486664
#> alpha_j -0.099500541 0.10318987
#> beta_z 0.553897565 0.07628808
#> beta_z 0.536424139 0.07383380
#> beta_z -0.225705467 0.07606824
#> beta_z -0.070945613 0.06259109
#> beta_z 0.336688292 0.01863795
#> log_sigma -0.696754581 0.02881155
#> log_sigma -0.005321748 0.05462454
#> log_kappa -0.635425879 0.10547175
#> Maximum gradient component: 0.01083685
#>
#> Proportion conditional deviance explained:
#> [1] 0.4057952
#>
#> spacetime_term:
#> heads to from parameter start lag Estimate Std_Error z_value
#> 1 1 d1 d1 1 <NA> 1 0.55389757 0.07628808 7.260604
#> 2 1 d2 d2 2 <NA> 1 0.53642414 0.07383380 7.265293
#> 3 1 d1 d2 3 <NA> 1 -0.22570547 0.07606824 -2.967144
#> 4 1 d2 d1 4 <NA> 1 -0.07094561 0.06259109 -1.133478
#> 5 2 d1 d1 5 <NA> 0 0.33668829 0.01863795 18.064666
#> 6 2 d2 d2 5 <NA> 0 0.33668829 0.01863795 18.064666
#> p_value
#> 1 3.853647e-13
#> 2 3.722318e-13
#> 3 3.005797e-03
#> 4 2.570136e-01
#> 5 6.048658e-73
#> 6 6.048658e-73
#>
#> Fixed terms:
#> Estimate Std_Error z_value p_value
#> vard1 0.09020298 0.1148666 0.7852844 0.4322868
#> vard2 -0.09950054 0.1031899 -0.9642471 0.3349220
#>
#> Sanity check:
#>
#> **Possible issues detected! Check output of sanity().**The values for beta_z again correspond to the specified
value for interaction-matrix B
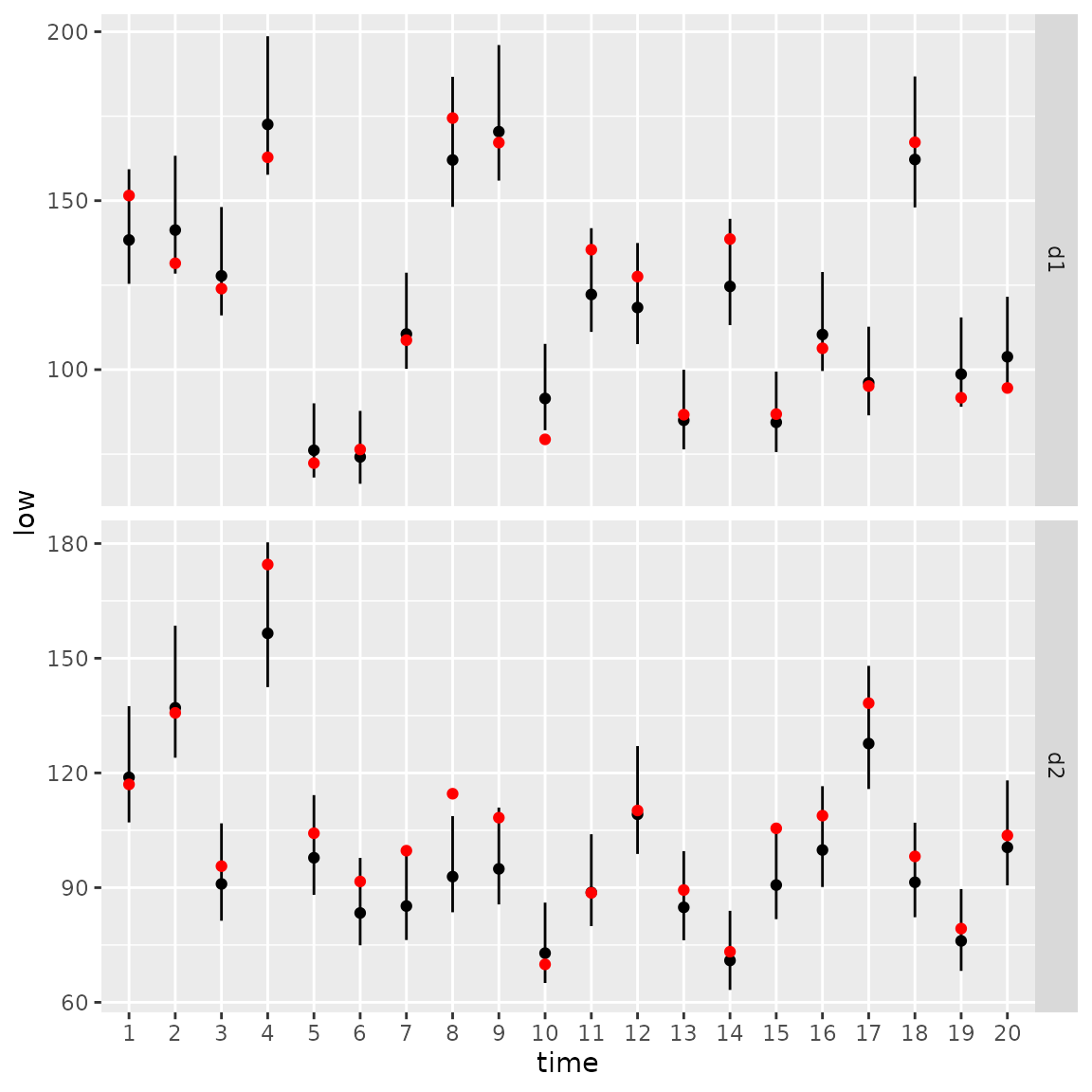
We can again calculate the area-weighted total abundance and compare it with its true value:
# Predicted sample-weighted total
# for each year-variable combination
Est1 = Est2 = NULL
for( t in seq_len(n_t) ){
Est1 = rbind(Est1, integrate_output(
out,
newdata = subset(Data, time==t & var=="d1")
))
Est2 = rbind(Est2, integrate_output(
out,
newdata = subset(Data, time==t & var=="d2")
))
}
# True (latent) sample-weighted total
True = tapply(
Data$mu,
INDEX=list("time"=Data$time,"var"=Data$var),
FUN=sum
)
# Make long-form data frame for ggplot
Index = data.frame(
expand.grid(dimnames(True)),
True = as.vector(True),
rbind(Est1, Est2)
)
# Format intervals for ggplot
Index$low = Index[,'Est...bias.correct.'] - 1.96*Index[,'Std..Error']
Index$high = Index[,'Est...bias.correct.'] + 1.96*Index[,'Std..Error']
#
library(ggplot2)
ggplot(Index, aes( time, Estimate )) +
facet_grid( rows=vars(var), scales="free" ) +
geom_segment(aes(y = low,
yend = high,
x = time,
xend = time) ) +
geom_point( aes(x=time, y=Estimate), color = "black") +
geom_point( aes(x=time, y=True), color = "red" )